|
УДК 025.17:05
Дубров А.П., Красикова О.Л.
Критерии и показатели для формирования
оптимального фонда иностранных журналов
Рассмотрена система критериев формирования фонда иностранных журналов в многопрофильных научных библиотеках, позволяющая сохранить оптимальную структуру фонда в условиях ограничения валютных средств на подписку. Предложен новый интегральный показатель использования журналов, основанный на вероятностном подходе.
Введение
Формирование иностранного журнального фонда междисциплинарных центров представляет собой сложную задачу, поскольку необходимо учитывать действие различных факторов, влияющих на состояние и развитие фонда. К главным из них относятся изменение научных направлений и приоритетных тем исследований, наличие валютных средств на подписку, изменение цен на журналы и соотношения валют на мировом рынке, ежегодное появление новых научных журналов, динамика использования журналов учеными и др.
Фонд периодических изданий научной библиотеки постоянно изменяется и обновляется в соответствии с информационными потребностями ученых: в его состав вводятся новые журналы, а журналы с низким уровнем использования снимаются с подписки после истечения определенного срока. В фонде каждой научной библиотеки есть группа основных журналов (ядро), интенсивно спрашиваемых учеными. Однако при ограничении валютных средств на подписку и большом количестве журналов возникает необходимость в строгой и объективной оценке информационной ценности каждого журнала на основе определенных критериев. Данные по использованию и разработке таких критериев при формировании фонда моно- и многопрофильных научных библиотек в системе РАН приведены в [1].
Основные показатели и критерии для оценки
и отбора иностранных журналов
При формировании журнального фонда одновременно решаются две задачи - введение новых журналов, релевантных темам и проблемам научных исследований, и устранение малоактивных изданий, не оправдавших себя. В обоих случаях ключевым моментом принятия решения является использование критериев объективной оценки и отбора журналов - кандидатов на подписку и списание.
Проведенный нами анализ показал, что все используемые показатели и критерии можно разделить на четыре большие группы: общие (использование, экспертная оценка, активность), абсолютные (публикации, помещенные в РЖ, запрашиваемые по ИРИ), относительные (профильность, цитируемость, встречаемость, известность), научная значимость (проблематика, приоритетность, новизна издания, издательство, редакционная коллегия) [1, 1985].
Из всего многообразия критериев следует выделить два основных - спрос и цитирование журналов. Разделение журналов фонда по спрашиваемости на группы (сверх-, средне-, малоактивные и пассивные) говорит о степени использования журналов и их информационной ценности. Исследованием спрашиваемости журналов в восьми научных библиотеках РАН установлено, что количество сверхактивных и активных журналов составляет 10-20% фонда периодических изданий [1, 1988-1993]. Эти журналы дают 50-70% информации, необходимой ученым НИИ по темам их научных исследований. Выявление и сохранение журналов "ядра" является основой оптимального формирования фонда в условиях жесткого ограничения финансовых средств на подписку.
Другим важным объективным показателем является пристатейное цитирование журналов в опубликованных работах НИИ. Этот показатель так же, как спрашиваемость, указывает на эффективность использования журналов, информированность ученых, выделяет активную и пассивную части фонда и помогает определить сумму валютных средств, необходимых для комплектования фонда с различным уровнем информационного обеспечения ученых НИИ.
Новые показатели для оценки и отбора иностранных журналов
Комплектование иностранными журналами фондов междисциплинарных научных библиотек имеет свои особенности, связанные с их многопрофильным характером, большим репертуаром журналов и широкими научными интересами контингента ученых-читателей. Для отбора журналов в фонд таких библиотек важным критерием является количество пользователей журналов и их распределение по составу (профиль института), т. е. определение того, представители скольких и каких именно институтов заказывают конкретные журналы фонда. Такой показатель мультидисциплинарности определяется по листкам требований-заказов, где в шифрованной форме приведены все необходимые сведения.
На основе этого показателя можно определить не только общее количество пользователей (институтов), нуждающихся в данном журнале, но и соотношение (долю) различных институтов в использовании конкретных журналов.
Указанная характеристика важна, поскольку показывает главных потребителей научной информации и их специальность, что способствует правильному формированию тематической структуры фонда.
В качестве примера приводим выборочные сведения по разделению журнального фонда Центральной библиотеки БЕН РАН по двум вышеуказанным критериям - спрашиваемости и мультидисциплинарности, рассчитанным для четырех групп журналов с разной степенью активности (табл.). Как видно из таблицы, ориентируясь на величину этих показателей, можно оценить и отобрать журналы, обеспечивающие ученых разных специальностей наибольшей информацией по определенным научным направлениям, а также малоинформативные издания. Проведенный нами анализ показал, что оба показателя можно объединить в интегральный многоаспектный индекс, используя вероятностный подход.
Распределение журналов по интегральному индексу.
Кд фонд ЦБ БЕН РАН,1992г.
|
Название журнала |
Количество |
Индекс |
Цена |
| |
заказов |
пользователей |
Кд |
$ |
- Nature
|
492 |
67 |
59,1 |
395 |
Proceedings Nat. Acad. Of Sci-
ence of USA |
239 |
48 |
40 |
382 |
|
Biochemistry |
234 |
38 |
32,6 |
786 |
|
Cell |
221 |
29 |
25 |
465 |
|
J. Mathem. Physics |
102 |
25 |
20 |
810 |
|
Chemical Physics |
52 |
25 |
16,2 |
2295 |
|
Brain Research |
94 |
18 |
15,2 |
8556 |
|
J. Plant Physiology |
71 |
15 |
12,3 |
938 |
|
Chemical Geology |
43 |
11 |
8,7 |
1373 |
|
Analyst |
24 |
9 |
6,8 |
511 |
|
Oikos |
25 |
4 |
3,4 |
387 |
|
Vegetatio
|
18 |
3 |
2,5 |
1128 |
Вероятностные подходы при разработке интегральных
индексов для оценки журналов
Многие показатели в деятельности научных библиотек, такие, как спрос, выдача, поступление, копирование журналов, определяются действием случайных факторов. Библиометрические и наукометрические критерии, в частности использование, цитирование журналов учеными, также являются величинами, отражающими действие вероятностных законов. Учет этого положения помогает в разработке и создании интегральных индексов оценки журналов.
Показатели, характеризующие динамику состояния и развития фонда, распределяются в течение года случайным образом, являясь выражением основного процесса - читательского спроса. Учитывая их единую вероятностную природу, можно рассматривать абсолютные годовые значения этих показателей (например, спрос, копирование, цитирование и др.) как накопленные случайные события с различной частотой происшедшие в течение года. Следовательно, эти показатели можно рассматривать как вероятностные частоты [2], и поэтому их можно объединять независимо от их истинного смыслового содержания или значения и таким образом получить новый интегральный индекс. Рассмотрим пример, когда для оценки свойств журнала используются две разных характеристики - спрос и количество пользователей (институтов). Поскольку вероятность любых событий имеет границы от нуля до единицы, указанные показатели следует тоже нормировать в долях единицы для возможности последующего их сопоставления и объединения.
Представляя оба показателя в виде взвешенных величин, можно записать:

где а - абсолютные годовые значения спроса,
b - количество пользователей для каждого журнала фонда.
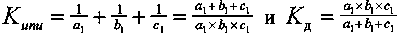
Оба показателя, являющиеся вероятностными частотами и безразмерными величинами, можно объединить между собой для создания интегрального показателя использования журналов (Кипи):

где обозначения а и b те же, что и в первой формуле.
При расчете показателя Кипи по формуле 2 получается десятичная дробь четвертого порядка, поэтому для удобства последующей работы и восприятия лучше представить его в виде целой величины, путем взятия обратного числа:
(3)
Итак, после расчета обратной величины от суммы частот двух показателей (спрос и пользователи) получается интегральный показатель - количественная мера эффективности использования журналов учеными и институтами (пользователями), что с новых позиций характеризует журналы, входящие в состав фонда.
Приведем конкретные расчеты интегрального показателя Кипи для двух журналов ЦБ БЕН РАН в 1992 г. Например, журнал "Nature" (N) в течение года заказывался 492 раза представителями 67 институтов РАН, а журнал "Proceedings of the National Academy of Science of USA" (PNAS) 293 раза представителями 48 институтов. Соответственно этим данным их индексы Кипи и Кд рассчитываются так:
Пример 1.

Пример 2.

Особенность показателя Кипи состоит в его способности к интегрированию, т. е. к включению в него других характеристик и показателей, выраженных в виде вероятностных частот. Например, если имеются библиометрические показатели, позволяющие с новых позиций оценить использование журналов (копирование, количество пристатейных ссылок и т. д.), то они могут включаться в интегральный индекс простым добавлением:
(4)
где a1, b1, c1 - различные характеристики журнала, полученные за год.
Заключение
Введение вероятностного принципа в практику библиометрических работ позволяет разработать новый вид интегральных индексов для оценки эффективности использования журналов и их информационной ценности. Создание интегральных многоаспектных показателей помогает разработать алгоритмы программ для автоматизированной системы отбора иностранных периодических изданий с помощью ПЭВМ. Развитие системы таких индексов с определением величины спроса журналов отдельными пользователями (институтами) будет способствовать формированию сбалансированного журнального фонда, построенного на точном знании запросов потребителей и экономном расходовании валютных средств на информационно ценные периодические издания.
СПИСОК ЛИТЕРАТУРЫ
- Дубров А.П., Захаров А.Г., Красикова О.Л. и др. Оценка информационной обеспеченности НИУ АН СССР иностранными журналами (1985), по биологии (1988), химии (1989), физике (1990), разных НИУ (1991), наукам о Земле (1992), биологии, химии и математике (1993). Отчет по НИР БЕН РАН. Тема гос. рег. № 01.84.0.029343. M.
- Айвазян С.А., Мешалкин Л.Д. и др. Прикладная статистика. - М.: Финансы и статистика, 1983. С. 42-44.
|